职教网
河北6市中考成绩一分一档公布!
(楼主)温故知新

2023-07-03 09:44:25

石家庄

图片 1

图片 2


沧州

 图片 3

图片 4

图片 5

图片 6

图片 7

图片 8

图片 9

图片 10

图片 11

图片 12

图片 13

图片 14

图片 15

图片 16

图片 17

图片 18

图片 19 

唐山

 图片 20(1)

 

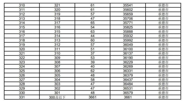
承德

 图片 21

图片 22

图片 23

图片 24

图片 25

图片 26

图片 27


衡水

 图片 28

图片 29

图片 30

图片 31

图片 32

图片 33

图片 34

图片 35

图片 36

图片 37

 

保定

 图片 38

图片 39

图片 40

图片 41

图片 42

图片 43

图片 44

图片 45

图片 46

图片 47

图片 48

图片 49

图片 50

图片 51

图片 52

图片 53

 来源:河北日报

 

回复贴子
职教网